企业简介
企业文化
企业视频
资质荣誉
研发体系
生产体系
质量体系
生物酶
辅酶
功能食品原料
医药中间体
CRO/CDMO服务
检测服务
技术支持
顾问团队
研发团队
研发设施
创新成果
公司新闻
行业动态
人才理念
团队风采
招聘岗位
浙江EVO真人有限公司
浙江杭康药业有限公司
浙江苏泊尔制药有限公司
product center
丨普拉替尼中间体
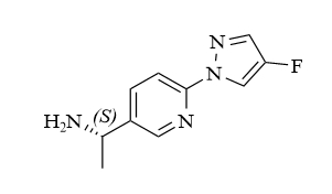
3-Pyridinemethanamine, 6-(4-fluoro-1H -pyrazol-1-yl)-α-methyl-, (αS)-
Catalog No. SZ-2266
CAS No.1980023-96-8
Purity: 99%
Status:pilot scale
热线:021-68187180
传真:021-68187179
邮箱:services@cybbbj.com
sales@cybbbj.com
地址:上海市浦东新区周浦镇蓝靛路1199号
服务时间:9:00-18:00
联系电话:
021-68187180
我要留言:
我会认真采纳您的每一条建议并及时做出调整